Cumhuriyet Halk Partisi Genel Başkanı Özgür Özel yaptığı açıklamada, “Mücahit Birinci Murat Kapki’ye iftira ifadesi verdirdi” dedi.
Cumhuriyet Halk Partisi Genel Başkanı Özgür Özel, partisinin genel merkezinde düzenlenen basın toplantısında konuştu. Cumhuriyet Halk Partisi Lideri Özel, “Değerli basın mensupları hepiniz hoş geldiniz. Saat 12.00’yi biraz geçiyor. Bu salonda ‘Saat 17.00. Sandıklar kapandı, bu kabus bitti’ diyeceğimiz basın açıklamaları da yapacağız. Bu binadan sandık görevlilerine ‘Gelen kötü haberlerden etkilenmeyin. Sandıkları terk etmeyin. Islak imzalı tutanakları alıp görevinizi yapmadan görev yerinizden ayrılmayın’ diye çok mesaj attık. Ama sandık görevlilerimize ‘Birazdan Türkiye’nin dört bir yanından çok güzel haberler alacaksınız. Sandıkları terk etmeyin, rehavete kapılmayın, görevinizi bitirmeden sandık başlarından ayrılmayın’ diye mesaj atmak 31 Mart’ta nasip oldu” dedi. Özel, şöyle devam etti:
“BUNDAN ÖNCESİ VE SONRASI ELBETTE FARKLI OLACAK”
“47 yıl bu ülkede birinci parti olmamış bu parti, kusuru kendinde aradı, demokrasi dışı hiçbir şeye tevessül etmedi. Edenlerin de peşinden gitmedi. En iyi göstergesi hepinizin gözü önünde 15 Temmuz gecesi AK Parti’ye etle tırnak oldukları, ne istediyse verdikleri, methiyeler düzdükleri, altlarına verdikleri tanklarla, uçaklarla darbe yaparken, biz ‘Fırsat bu fırsat, birbirlerine düştüler. Yesinler birbirlerini. Kurtulduk AK Parti’den’ demek yerine demokrasinin tarafında durduk. Bugün bizim 47 yıl gösterdiğimiz dirayeti, 47 gün gösteremeyen, demokrasiyi işine gelince binilecek, 31 Mart’tan sonra inilecek bir tren olarak gören, yıllar önce bunu söyleyen, bu pratiği hayata geçiren, seçmeninin yüzüne geçmişte ‘Manşetlerle çarpışıyoruz’ deyip, bugün manşetlerle rakiplerine iftira atanların, ‘Vesayet odakları altındayız, vesayet odaklarının karşısındayız’ deyip şimdi yarattıkları vesayet odaklarıyla sivil siyasetin önünü tıkamaya çalışanların, iftira ettirenlerin, hakaret ettirenlerin, ikili hukuk uygulayanların, muhalefete ikili hukuk uygulayanların, eğer kendilerine ‘öf’ denilirse dava açanların ama öbür taraftan her türlü saldırıya, hakarete, iftiraya karşı susanların dönemindeyiz. Bugün bir kuruluş yıldönümü. ‘Erdemliler Hareketi’ diye yola çıkıp, bugün kumpasçılar hareketine dönen, iftiracılar hareketine dönen, paçalarından pislik akan, bunu da en çok birbirleri bilen ama bu kara düzeni devam ettirmeye çalışanların dönemindeyiz. Şimdi bugün saat 12.00 bir kesit. Bundan öncesiyle, bundan sonrası elbette farklı olacak. Ama burası bir kesit. AK Parti iktidarının savruluşunun ve tükenişinin önemli kilometre taşlarından birisi. Şüphesiz AK Parti’nin iktidarı bugün bitmiyor. Ama başlamış olan tükeniş, savruluş ve yok oluş sürecinde önemli bir kilometre taşını geride bırakmaya geldik.”
“GEÇEN SENE 9 EKİM’DE BU SÜREÇ BAŞLADI”
“Kısaca değinerek ve hatırlatarak geçmek gereken önemli bir sürecin içindeyiz. 19 Mart darbesinin üstünden 148 gün geçti. 19 Mart darbesini yapacak olanlar geçen sene 9 Ekim’de siyasi bir makam olan bakan yardımcılığından İstanbul Cumhuriyet Başsavcılığı gibi çok önemli, çok kritik, çok tarafsız, çok korkusuz, çok bağlantısız olunması gereken bir makama atıldılar. Önceki için ‘Bu beceremedi, bu çocuk becerir’ diye yollandı kendisi. Önceki başsavcının ‘Ben bu dediklerinizi yapamam, ben hukukun dışına çıkamam’ itirazlarından sonra geçmişte her denileni yapan, hep hukukun dışına çıkan, bir seyyar giyotin gibi mahkeme mahkeme gezdirilip istenilen kararları şak, şak verip, işte Selahattin Demirtaş’ı da içeri atan, Canan Kaftancıoğlu’na da yasak getiren, Grup Yorum davasına da giren, baştan aşağı saydığınızda bütün sıkıntılı siyasi kararları vermiş olan kişi, ödüllendirilmek için getirildiği siyasi makamdan İstanbul Cumhuriyet Başsavcılığı gibi kritik bir makama gitti. O günden sonra bu süreç başladı. Biz yürümekte olan süreci, geleceğin yönetimine, geleceğin Cumhurbaşkanı’na darbe girişimi olarak, 19 Mart’tan bir ay önce nitelendirmiştik zaten. Ekrem İmamoğlu’nun, sevgili Başkanımızın 20 yıl önce daire sattıklarını aramaya başladılar; Açıktan para verdiniz mi?’ 20 yıl önce bu ülkede daire satılır, tapuda bir değeri vardır, bir de açıktan verilir. Onun peşine düşüp, İmamoğlu’nun açıktan aldığı parayı koyduğu bankayı filan bulup, ona başka anlamlar yüklemeyi hesap edecek kadar küçülmüş birileri belediye başkanlarımızın, ailelerinin, eşlerinin, çevrelerinin tamamına akıl alabilecek en haksız saldırılar ve en haksız zorlamalarla yürütecekleri fevkalade utanç verici bir süreci o günlerde başlattılar.”
“148 GÜN ÖNCE DARBENİN BİLDİRİSİNİ YAYINLADILAR”
“19 Mart günü bundan 148 gün önce darbenin bildirisini yayınladılar, bildirinin ana manşeti şuydu; ‘Ekrem İmamoğlu 560 milyar lira yolsuzluk yaptı. Bu paralar ele geçirildi. Görevden alınmak üzere, daha doğrusu gözaltına alındı. Tutuklanmak için mahkeme önüne çıkacak.’ 560 milyar TL. O günden sonra ‘Bulduk’ dedikleri, ‘dev kasalar’ dedikleri… Hatırlayın arkadaşlar ‘Vinçlerle kasaları yerleştirmişler’ dedikleri… Ne vinç var, ne kasa var, ne para var. Bir kör delikli kuruş yok. 560 milyar dedikleri paranın, altı yıldır yönettiğimiz İBB’nin altı yıllık bütçesinden 70 milyar lira fazla olduğu ortaya çıktı. Personele dağıtılan bütün maaşları çalsan, dökülen bütün asfaltları çalsan, yakılan bütün ışıkları çalsan yine bu para yetmiyor. Bir lirasını ispatlayamadılar. Ardından her gün bir yeni haber. Örnek; ‘Ekrem İmamoğlu’nun lüks araçları.’ Ertesi gün gerçek; ‘Araçların sahibi bir MHP milletvekili.’ Örnek; ‘Valizlerde verilen rüşvet paralarının taşınması, valizlerde görüntülendi.’ Gerçek; ‘Valizlerin içinden rahmetli Kadir Topbaş’tan kalma jammerler çıktı.’ İddia; ‘İBB, 1200 cep telefonu aldı. Delegelere dağıttı.’ Gerçek; ‘Bir tane cep telefonu alınmadığı, sahipsiz bir tane telefon olmadığı ortaya çıktı.’ İddia; ‘Görüntü…’ TRT’de görüntü ya Allah’tan korkun, TRT’de görüntü. ‘Gaziosmanpaşa Belediyesi’nin kasasından yapılan aramada dolarlar çıktı.’ Dolar çıkarıyor. Polis belgesine bakıyorsunuz, ‘Sadece mühür çıktı ve bir harddisk çıktı.’ Arıyorsun diyorsun ‘Yahu kardeşim ekranın yarısına kadar kırmızı yapmışsın, belediyenin kasası diye. Ne alakası var bunun?’ ‘Stok görüntü kullandık’ diyor, ‘Elimizde boş kasa görüntüsü yoktu, dolar boşaltılan kare koyduk diyor. Ertesi gün ‘Yayladaki kasadan Eurolar çıktı.’ Kasadan 48 mermi çıkmış polis tutanağında. ‘Stok görüntü kullandık.’ Anadolu Ajansı bunu yolladı. Bu kadar büyük yalanlarla uğraşarak geldiğimiz süreçte bakın bugün nereye geliyoruz? Ona geliyorum.”
“SONRA İŞ GELDİ ‘İFTİRA AT, KURTUL’A…”
“Boş dosyayı doldurmak için ilk önce gizli tanık… Ağaç isimleri verdiler; meşeler, ladinler, çınarlar. O gizli tanıklar bir şey söyledi ama AİHM ve AYM kararları diyor ki ‘Gizli tanığın dediğini somut delille destekleyeceksin.’ Bunları oraya yollayanlar, ‘Gidin, bakın. Elinizle koymuş gibi bulacaksınız.’ Kişi kendinden bilir işi. ‘Bu işleri yapan müteahhitlerden bunlar bunu, bunu istemiştir. Buralara da koymuştur’ diye gittiler. Ladin’e, Çınar’a, Meşe’ye iftirayı attırdılar. Bir tane somut delil bulamadılar. Bulsa yetecek Ladin’in dediği. Onun dediği yerde kasa çıksa, onun dediği gibi para çıksa, onun dediği gibi yolsuzluk olsa. Yok, yok, yok. Sonra iş geldi yeni bir mekanizmaya. Herkese bir kişiye bir avukat zorunluluğu. Yasal değil, yasak. Ama öyle. Neden? Haber gelmesin, gitmesin. Herkese ‘Bir diğerinden şu kanıt çıktı. O bunu itiraf etmiş. O bunu yapmış. Sen de bunu söylersen kurtulursun.’ İftira at, kurtul mekanizması. Birazdan en somutunu göreceksiniz, en somutunu. Kimine; ‘Duydum, de.’ Yüzlerce itiraf beyanı var. ‘Gördüm’ bile yok; ‘Duydum’, ‘Sanıyorum’, ‘Galiba…’ Bunlarla yaptılar yaptılar, her önüne gelene başkasına bir iftira attırdılar. Öyle bir noktaya geldi ki iş itiraf için çağırdıkları kişiyi çağırdıkları anda eşini de gözaltına aldılar. ‘Eşin gözaltında, akşam birlikte olursunuz inşallah’ dediler, ‘Ya Silivri’de ya kendi evinizde.’”
“NUMAN KURTULMUŞ ‘BUNLAR VARSA ÖL Kİ ÖLEM’ DEDİ”
“Şimdi öyle bir çorap söküğü başlayacak ki, bu itiraflardan, itirafnamelerden öyle bir yere gelecek ki iş. Bu itirafları yapanlar esas nasıl iftira atmaya zorlandıklarını öyle anlatacaklar ki. Dünyanın en büyük organize kötülük hareketi çökecek, bunun dünya çapında izlenecek filmleri olacak. Yeter ki bu gösterilen cesaretler gösterilmeye devam etsin. Bir de burada ‘Saat 17.00. Sandıklar kapandı, kâbus bitti’ diyebilelim. Devletin bütün imkânlarını elinde tutanların ne kadar kötüleşebildiklerini görmek açısından fevkalade önemli bir noktadayız. Ama sadece şuraya bakalım. Bir sürü savcı, mütevazı lojmanlarda oturuyor. Öyle lojmanlar var, depreme dayanıklılığından şüphe var. Lojmanda oturamayan görevliler, Çağlayan’da görev yapanlar kendi cebinden kirayla evlerde oturuyorlar. Ama bir savcı 80 yıllık maaşıyla alabileceği yatı, alıcı gözle gezebiliyor. Boğaz’da kendisine lojman tahsis edilmiş, sadece 56 milyon TL tadilatına verilebiliyor. 56 milyon TL, 56 emekli öğretmenin 30 yıllık emeği karşılığı aldığı ikramiye. Sadece tadilata verilebiliyor. Öyle bir pervasızlıkla karşı karşıyayız ki birazcık kafaları bozulunca, birazcık onlarla uğraşınca bir tane beyaz Toros koyup, karşısına geçip, fotoğraf çektirip, bizi tehdit edebilen, Erdoğan ‘Bu ülke beyaz Toroslar’dan çok çekti’ dediği gün beyaz Toros paylaşabilen bir pervasızlıkla, gözü dönmüşlükle karşı karşıyayız. 90’ların JİTEM’cileri böyle cesur veya böyle küstahtı. Şimdi Erdoğan’ın Çağlayan’daki AK Toroscuları bu noktaya gelmiş durumda. Öyle bir noktaya geldik ki bu çeteyle ilgili elimizdeki bütün bilgileri derledik, 15 gün önce HSK‘ya başvurduk. Ben bunları örneğin Meclis Başkanımıza biraz anlattım. ‘Bunlar olur mu?’ dedim. ‘Siz hukukçusunuz, bunlar olur mu?’ dedim. İşte Numan Kurtulmuş’un yüzü. İnkâr edecek hali yok. ‘Bunlar varsa öl ki ölem’ dedi. ‘Bunlar varsa öl ki ölem…’ Bunları anlattığım AK Partililer de geçmişte birlikte görev yaptıklarımız da yüzlerindeki ifade çok vahim. ‘Biz de onaylamıyoruz.’ Ama bir tarafta evlatlarıyla, sağlıklarıyla, canlarıyla, analarının gözyaşlarıyla bunları ödeyenler var.”
“HEPİMİZ BİLİYORUZ Kİ ÇETELEŞTİ BUNLAR, BORSA İÇİNDE BORSA VAR”
“Herkesin bildiği bir gerçek bugün bütün somutluğu ile ortaya dökülmek zorunda. Tüm Çağlayan bilmiyorsa, tüm yargı bilmiyorsa, yüksek yargıda şu anda beni Yargıtay binasından, Danıştay binasından, Uyuşmazlık Mahkemesi’nden, Anayasa Mahkemesi’nden izleyenler bilmiyorsa, AK Partililer bilmiyorsa ki Türkiye’de yargıda parayla pulla olan işler var, borsalar var. Karar ona göre, buna göre çıkıyor, avukatına göre çıkıyor. Yalansa… Her birinizin vicdanına söylüyorum. Buna inanmıyorsanız, bundan şüphelenmiyorsanız ben namussuzum, ben şerefsizim. Ama hepiniz biliyorsunuz ki var bunlar. Hepiniz biliyorsunuz ki çeteleşti bunlar. Çağlayan’da borsa diye bir şey var, çok yönlü borsa var. İBB’nin ayrı borsası var. Borsa içinde borsa var. Çağlayan’da onlarca borsa var. Uyuşturucu ticaretinin bile mücadelesinde bambaşka bir borsa var. Onun bile işini bitirebilen avukatı var, onun bile gidilebilen savcısı var. Tuz kokmadı, tuz kokmadı. Balçık oldu tuz. Lağım patladı, lağım patladı. Eğer Çağlayan’da yargı sisteminde bugün bir kokuşmuşluk, bir adamını bulmak, savcıyla eşlenik avukat sistemleri ve bir ucu maddiyata dayanan işler ‘Yok’ diyorsanız kapatın televizyonu buradan sonrasını izlemeyin. Ama kapatamazsın o televizyonu işte. Biliyorsun ki doğrudur. Adalet Bakanı kapatamazsın o televizyonu işte, biliyorsun ki doğrudur. Canlı yayında izliyorsun. Biliyorsun ki etrafına diyorsun ki ‘Ben de rahatsızım bunlardan.’ Ama yok ki, yok ki cesaretiniz, tarihe geçesiniz. ‘Adalet Bakanı bunlara karşı hamle yaptı, karşılığında da gerekirse istifa etti. Namusuyla gitti Bartın’daki evine oturdu.’ Yap bunu, göster. Öyle sağına soluna ‘Ben de Akın’dan şikâyetçiyim’ demekle, ‘Yok, Akın’a karşı ben de şu başarıyı elde ettim’ demekle olmuyor bu işler beyefendiler.”
“‘BU İFADEYİ VERİRSEN SERBEST KALACAKSIN’ NORMAL GELMEYE BAŞLADI”
“Geçen hafta İBB borsasının önemli bir boyutunu, önce deşifre ettik. Biz deşifre ettiğimizde ne oldu biliyor musun? Hemen nereden biliyorsa o eve gittiler. Birini arıyorlar. O evdeki aradıkları kişiyi bulamadılar. Annesini götürdüler. Ya sen nereye anne götürüyorsun? Birini arıyorsun, yok. Anasını götürüyor. Savcı demiş ki ‘Evde yoksa yakınlarından birini alın, gelin.’ Anasını götürdüler oraya. ‘Nerede?’ ‘Ya Artvin’de.’ ‘Telefonu kapalı.’ ‘Yaylada. Ulaşırız, gelir.’ ‘O gelmeden gidemezsin.’ Avukatı yok yanında. Avukatı gelince birazcık sert çıkınca. ‘Ya arama emrin yok, gözaltı kararın yok. Anasını nasıl alırsın, nasıl rehin tutarsın?’ Anneyi saldılar. Evlat kendi ilçeye, ilçeden merkeze, merkezden emniyete ayağıyla gitti. Tuttular, 1,5 günde İstanbul’a getirdiler. Vatan emniyette tuttular, hakim karşısına çıkardılar. İnat ettik, bekledik. Eldeki belgeleri HSK’ya vermedik ki bunlar oraya söyleyip ona göre muamele etmesinler. O işler, işlemler bitti. Gittik, HSK’ya başvurumuzu yaptık. Ayrıca da bir kez daha çağrıda bulunduk, tekrar bulunuyoruz. Şimdi buradan iddia ediyorum ki, hatta biliyorum ki, İBB soruşturması… İBB devasa bir yapı, 90 bin kişi çalışıyor arkadaşlar. Avrupa’da bir devlet olur İBB’den. Burayla çalışan müteahhitlerin önemli bir kısmına biliyorsunuz gözaltı yapıyorlar, içeri koyuyorlar. Sonra itirafçı yapıyorlar, ‘Duydum galiba, bilmem ne’, çıkıyorlar. Bu müteahhitlerin başına gelenler, yani doğru avukatın ona gitmesi, nasıl ifade vereceğini söylemesi ve ‘bunu verirsen serbest kalacağın meselesi’ böyle normal bir şey gibi gelmeye başladı kulağa, değil mi? Soruşturma gizli. Yani savcı biliyor, eve gittiğinde o evde ne bulduğunu. Tabii Sabah’a veriyor, Yeni Şafak’a veriyor, bilmem neye veriyor. Ama aslında memleket hukuk devleti olsa o Yeni Şafak’a onun verilmesine soruşturma açılıp ‘Gizlilik olan soruşturmada sen bunlara nereden ulaştın?’, o savcı bulunup, o savcıdan önce kurtulup sonra adaletin peşine düşmek lazım.”
“ŞİMDİ; GERİYE DÖNÜK İLİŞKİLENDİRME…”
“Örneğin geçen hafta yaşananlardan sonra Yener Torunler, İBB soruşturmasında tutuklu olan kişi. Mehmet Yıldırım, kendisine gelmiş, kendisiyle konuşmuş. Kızının düğünü ile ilgili konuşmuş, düğünü iptal ettiler. ‘O düğün yapılabilir, düğüne kadar çıkabilirsin’ demiş. ‘Oğlun İBB’de çalışıyormuş’ demiş. Savcı da bunu biliyor. ‘Oğlanı da alırız, oğlana da yazık olacak’ demiş. Ayrıca ‘Gel’ demiş, ‘Bu işi halledelim. Güzelce imzanı at, şunları söyle’ demiş. Kişi ‘Onu yapamam, bunu yapamam’ deyince ‘Korkma ya Savcı beyin de haberi var.’ ‘Ben bunu dersem adam beni başka bir şeyden mesul tutar’ deyince, ‘Konuştuk, bundan başka konulara girmeyecek’ demiş. Bunların hepsini Sayın Torunler bir suç duyurusu olarak satır satır yazarak verdi. Biz de bunu HSK’ya verdik. Birazdan size de tamamını vereceğiz arkadaşlar. Ama bakın buradan somut olay; sadece savcının bilmesi gereken bir şeyi avukat bilince, Yener Torunler’e gidiyor ve diyor ki ‘Sen diyeceksin ki ben Fatih Keleş’e…’ Konuşturamadıkları Fatih Keleş’e, konuşturmak için evladını hapse attıkları, bütün ailesini hapse attıkları, kendisini Kandıra’ya koyup ikide bir çağırıp avukatsız konuştukları Fatih Keleş’e. Diyorlar ki Yener Torunler’e, ‘Sadece şunu de bari: ‘Fatih Keleş’in kardeşine sarı bir zarfta küçük bir para verdim. 15 bin dolar falan.’ Bunu söyle bari’ diyor, ‘Bu büyük bir şey değil.’ Arkadaşlar arama tutanağında şu var: Adamın evinde sarı bir zarfta 15 bin dolar bulunmuş, tutanağa geçirilmiş. 15 bin dolar gibi bir para. Arama günü kaç ay önce. Onu bugünkü iftiracıya ‘Bunu sen verdin diye söyle’ diyor. İlişki kuracak ki iddianame yazsın. En ufağından. Şimdi bakın ne yapmaya çalıştıklarına. Bu sistemi bir anlayalım. Savcıların elindeki suç olmayan arama tutanaklarından… Örneğin arkadaşın iPad’i. Markası belli, bilmem nesi belli. Evde görülmüş, alınmış. Diyor ki ‘O iPad’i ‘Rüşvet olarak ben ona verdim’ diyebilirsin.’ Geriye dönük ilişkilendirme. Bütün meseleyi bunun üzerine kurmaya çalışıyorlar.”
“TÜRKİYE’DE SAVCILAR AVUKAT TUTUYOR”
“Sayın Yener Torunler, kendisine yapılan baskıyı, şantajı, zorlamayı, teklifi, her şeyi deşifre eden açıklamalarda bulundu. Ayrıca kendisine savcının sesini duyurulduğunu, ayrıca yakınlarıyla konuşurken savcıyla konuşturulduğunu. Yani bir tane ya bir tane şu Adalet Bakanı oturduğu yerden bir harekete geçse, HSK’da bir tane adam gibi bu işi çözmek için bunu yapsa. O telefon belli, o telefon belli, mekân belli, konuşma belli. Al savcıyı içeri, yüzleştir onunla. Tıkır tıkır çözülür o iş. Ama savcıları oraya yollayan, Ekrem’de olmayan suçu oldurmaya, olmayan çeteyi uydurmaya, olmayan suç örgütü uydurmaya gittiği için, özel yetkili savcı olduğu için böyle yapmış. Bakın Türkiye’de mağdurlar, suçlananlar ve suçlular avukat tutar. Bütün dünyada böyledir. Bir tek Türkiye’de savcılar avukat tutuyor. Niye biliyor musun? Kuracakları kumpası hapishanedekilere ve ailelerine dayatmak, ikna etmek ya da onların kurtuluşu karşılığı menfaat temin etmek için. İşte şimdi geldik AK Parti’nin doğum günü hediyesine. Bu atmosferdeyiz, buraya kadar geldik. Ha bu meseleden kurumsal olarak hızla sıyrılmanın yolları var ama nerede o cesareti gösterecekler?”
“ŞİMDİ GELDİK AK PARTİ’NİN DOĞUM GÜNÜ HEDİYESİNE…”
“Bu AK Toroslar çetesinin irtibat içinde olduğu bir avukat arkadaş, İBB soruşturmasındaki tutuklu iş insanı Murat Kapki’ye gider. Murat Kapki dediğiniz kişi, İBB AKP’deyken de çok iş yapan, çeşitli kamu kurumlarına da iş yapan, çok büyük bir şirketin sahiplerinden biridir. Defalarca itirafçılığa zorlanmış, etkin pişmanlık ifadeleri de vermiş ama kendisinden istenen ifadeyi vermediği için, gerçek dışı beyan vermediği için içeride tutulmuş birisidir. Bu kişiye bugün kuruluşunu kutladığımız Adalet ve Kalkınma Partisi’nin MKYK üyeliği dâhil, çok sayıda görev yapmış Mücahit Birinci denen arkadaş gider. Bu giden arkadaş, Murat Kapki ile konuşur 31 Temmuz 2025 günü ve Murat Kapki’nin birazdan her birinizin tanık olacağı 1,5 sayfalık bir ifade tutanağını önüne koyup, ‘Bunu imzalayacaksın, üstüne de 2 milyon dolar vereceksin…’ 82 milyon TL. ‘Ve buradan tıpış tıpış çıkıp gideceksin.’ Olmayan bir buluşmayı olmuş gibi söylemesini, çeşitli kişilerin isimlerini geçirmesini, çeşitli olaylarla bunları ilişkilendirmesini isteyip… Hatta ‘Ben kimseye iftira atmam’ deyince ‘Makyavelist düşün. Baktın CHP iyiye gidiyor. O gün mahkemede dersin ki ‘Ben bunu kendimi kurtarmak için söyledim.’ CHP yanlısı bir ifade verir, CHP’nin gazabından kendini kurtarırsın.’ Diyor ki ‘Her gece Fuat Uğur, Cem Küçük, Nedim Şener hakkımda konuşuyorlar. Ben bir de bunları söylersem nasıl olacak?’ ‘Onlar bende. Merak etme. Hepsini halledeceğim. Ben senin medyadaki elin, ayağın, teminatın olacağım’ diyebiliyor. Çağlayan’daki çetenin kontrolünde olmayan avukatları, savcıları, hâkimleri baskılamak için ‘Şöyle bir ifade vereceksin’ diyerek, ‘Avukat Mehmet Pehlivan’ın bütün Çağlayan’ı emrine aldığını…’ İBB soruşturmasından tutuklu olan, Ekrem Başkanın avukatı. ‘Sana söylediğini söyleyeceksin’ diyor. Devamında dünya kadar iddiayla, efendim öyle bir ifade ki basında da kullanılmak üzere… Fevkalade riskli, gazetecilere hakaret eden, Cumhuriyet Halk Partisi’nin bir türlü beceremedikleri kurultayıyla ilgili bir hamle yapan, Fatih Keleş’i, bir türlü yapamadıkları Fatih Keleş iftirasını oturtan, Ekrem Başkan’a, Murat Ongun’a dokunan bir ifadeyi vermesi karşılığında 2 milyon dolar da verirse olacağını söylüyor. Şimdi diyorlar ki ‘Mektup olacakmış, bilmem neymiş…’”
“AYAĞIYLA GELENDE KAÇMA ŞÜPHESİ VAR, YUNAN ADASI’NA GİDENDE YOK”
“Arkadaşlar birazdan size Murat Kapki’nin Tekirdağ 1 Nolu Cezaevi’nden Tekirdağ Cumhuriyet Başsavcılığı’na, İstanbul Cumhuriyet Başsavcılığı’na değil… Çünkü oraya başvurduğunuzda gidip evinizi basıyor onlar. Suçlanana gıdı gıdı yapıyorlar, suçlayanın canını okuyorlar. ‘Geçen sefer benden para isteyen, beni tehdit eden, beni savcıyla konuşturan’ dediğin avukata, ‘Kaç sen bakalım.’ Serik’te yakalıyorlar. Kaş’tan Meis’e, Yunan adasına kaçacak güya. O da gidiyor, telefonu bırakıyor, başkasının arabasına atlıyor. Kaçarken eliyle koymuş gibi yakalatıyorlar. Niye? ‘Avukat suçlu, biz peşindeyiz.’ Öyle olsa sen o avukatı alıp getirdiğinde, suçu da beş yıldan 7,5 yıla kadar – üst sınırı beş yıl, avukat olursan 7,5 yılken – hukuk fakültesinde öğrencinin yapmayacağı hatayı kendi kendine yazarak. ‘Bu cezanın kendisi’ diyor, ‘Tutuklama yasağındadır.’ Dört yıl üst sınırı olan şeyden Mehmet Pehlivan tutuklu. Mehmet Pehlivan el sallayarak geliyor biliyorsunuz adliyeye. Telefonla çağırıyorlar. Gülerek, el sallayarak geliyor. Üst sınırı; dört yıl. O savcı tutukluyor onu. Buna 7,5 yıl üst sınırı, ‘Tutuklama yasağına girer’ diyor. Tutuklama yasağının üst sınırı iki yıl arkadaşlar. Biri ayağı ile geleni tutukluyor, öbürü Yunan adasına kaçarken yakalıyor, tutulamıyor. Bununkinde kaçma şüphesi var; ayağıyla gelende. Yunan adasına doğru gidende kaçma şüphesi yok. ‘Tutuklama yasağı var, evde otursun.’ Sen bununla şirket olmasan, ekip olmasan, bunu içeri koyduğunda ‘Bu ne yapıyorsunuz?’ deyip sizin ipliğinizi pazara çıkaracak olmasa, sen buna ev hapsi verir misin? Sen onu kaçarken yakalasan tutuklamaz mısın? Bu Türkiye’de ayağı ile giden herkesi tutuklayanlar, Yunanistan’a kaçarken yakalandığını yazdıkları adamı nasıl tutuklamıyorlar? 7,5 yıl nasıl diyorlar? 7,5 yılın altında dünya kadar… Silivri boşalır.”
“KAYYIM ATAMAK İÇİN HER TAKLAYI ATTIKLARI CHP KURULTAYI…”
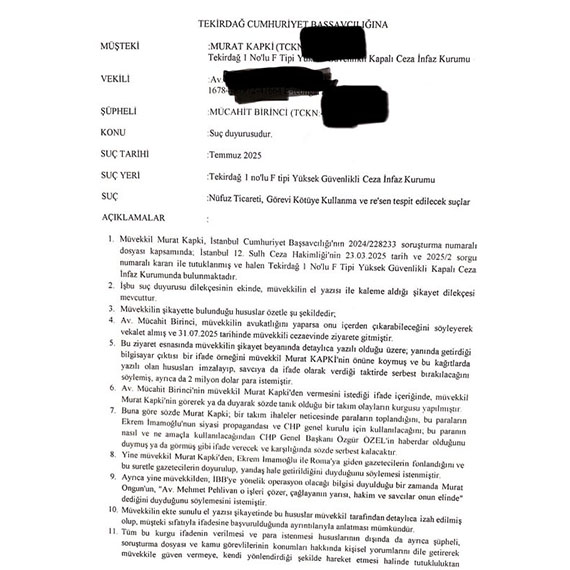
“Bu birazdan size dağıtılacak. ‘Tekirdağ Cumhuriyet Başsavcılığı’na…’ Murat Kapki’nin T.C.’si, Mücahit Birinci’nin T.C.’si, avukatın sicili dışında bir şey kapatmadık arkadaşlar. Hepsi sisteme yüklü, hepsi resmi. Birazdan bunu aldığınızda, özetlediğim şeyi şu netlikte göreceksiniz, talep şudur burada: Diyor ki ‘Şüpheli, Gazeteci Barış Terkoğlu’na ‘İBB dosyasında Murat Kapki’nin avukatlığını yapıyorum’ şeklinde beyan vermiştir. Oysa soruşturma dosyasında müdafi sıfatıyla herhangi bir görev yapmamıştır.’ Yetkiyi almış, bunu teklif etmiş. ‘Yapmam’ deyince görevden azledilmiş. Ama koşuyor Barış Terkoğlu’na bunu söylüyor, Niye? Biliyor ki bu yaptığı bir gün çıkınca, ‘Ben onun avukatlığını yapıyordum’ diyor. Oysaki bakın okuyacağım bu teklifi götürüyor.
‘Şüphelinin atılı suç işlediğinin tespiti bakımından’ diyor avukat, ‘İlgili cezaevine müzekkere yazılarak, ziyaret kayıtları ve kamera görüntülerinin…’ ‘Bir sayfa altı satır’ dedi ya, bir sayfa altı satırlık şey, kamera orada. Bir sayfa altı satırlık Mücahit’in koyduğu kağıt burada. İşlerine geldi mi o kamera kayıtlarını böyle büyütüyorlar ya. Döküm yapıyorlar ya. FETÖ dosyalarında o kamera kayıtlarından, ses kayıtlarından neler neler yaptılar ya. ‘Haydi bakalım’ diyoruz. Böyle okurken bunu böyle Mücahit Birinci’nin getirdiği kağıt kamerada ya. ‘Ben Murat Kapki, Tekirdağ 1 Nolu Cezaevi’nde tutukluyum. 31 Temmuz 2025 tarihinde Avukat Mücahit Birinci ziyaretime geldi. Kendisi bana daha önce haber yollayıp, ‘Bana vekalet çıkarırsa onun işini ben hallederim’ demişti. Yanıma geldiğinde bana 1,5 sayfalık bir ifade tutanağını önüme koydu. Bunu imzalayıp, ifadede geçen, tamamı yalan ve kurgu olan şeyleri söylemem halinde, ‘Buradan seni çıkartırım’ dedi. Ayrıca bu iş için benden 2 milyon Amerikan Doları para istedi. Getirdiği ifadeyi okuduktan sonra ‘Ben kimseye bu şekilde iftira atmam’ dedim. ‘Kendini bana bir hafta teslim edeceksin, hiçbir soru sormayacaksın. Makyavelist düşün, çıkmak için her şey mübahtır’ dedi.’ Kendisiyle olan görüşmenin detayları ikinci sayfadadır. ‘Bir, sözde Murat Ongun ile bir otelde buluşmuşuz. Bu buluşmada yine sözde Hüseyin Köksal, Emrah Bağdatlı ve Fatih Keleş’in de olduğunu ve konunun alınan ihalelerle kazanımları hakkında olduğunu söyleyecekmiş. Murat Ongun, bize ‘Bu ihaleler çok iyi oldu. Baya para toplayabildik.’ Bu paraları Ekrem İmamoğlu’nun siyasi propagandası ve CHP Genel Kurulunda kullanacaklarını bize söylemiş…’ CHP Genel Kurulu, bizim kurultayımızı, kayyım atamak için her taklayı atıp yapamadıkları, delil bulamadıkları kurultay için AK Parti’nin MKYK üyeliği yapmış, her kademede görev yapan, sarayda her kapıya tıngır mıngır girip çıkan, Çağlayan adliyesinde yedinci katın o otomatik geçiş sistemlisi, geçen de başka bir avukat meselesinde Akın Gürlek’i savunmak için AK Parti’nin diğer kanatlarına en sert saldıran Mücahit Birinci’nin ilk nefesi: ‘Çok para topladık’, Ekrem İmamoğlu’nun kampanyası ve CHP kurultayı.”
“MEDYA ÖRGÜTLENMESİ İFADESİ VERDİRTMEYE ÇALIŞIYOR”
“‘…İki, Murat Ongun sözde reklam ihaleleri ve diğer ihalelerden gelen paranın nasıl kullanıldığından Özgür Özel’in bizzat haberinin olduğunu, yine sözde Hüseyin Köksal ve Emrah Bağdatlı’ya anlatmış. Ben de bunu Hüseyin Köksal’dan duymuşum. Üç, sözde Murat Ongun ile Fatih Keleş kendi aralarında konuşuyormuş, benim de kulağıma gelmiş. Konu Roma gezisi ve gazetecilermiş. Murat Ongun, Fatih Keleş’e ‘Bu Roma gezisi iyi oldu. Hem hesaplarımızı şişirdik, hem de gazetecileri nemalandırdık’ demiş. Murat Ongun, Ekrem İmamoğlu’na ‘Roma’da hesapları şişirdik ve gazetecilere para verdik. Artık hepsi bizden’ demiş. Sözde İmamoğlu da ‘İyi yaptınız…’” Özür diliyorum arkadaşlar, bu savcının terbiyesizliğidir. “…‘İyi yaptınız, zaten hepsi aç köpek. Ara sıra hepsini doyurun’ demiş.” Buradan iddia edip, ispat edemedikleri Roma gezisini, Murat Ongun üzerinden İmamoğlu’na yakın medya örgütlenmesini ve İmamoğlu’nun ağızından gazetecilere nefret uyandıracak bir ifadeyi verdirtmeye çalışıyor. ‘…Sözde Murat Ongun savcılığın bir soruşturma açtığı öğrenildiğinde, ‘Avukat Mehmet Pehlivan o işleri çözer zaten. Çağlayan’ın yarısı, savcı ve hakimler onun elinde’ demiş. Ben de bunu duymuşum. Bana getirdiği kağıtta bunlar yazıyordu. İlk sayfası tam doluydu, ikinci sayfası beş ya da altı satırdı. Ben böyle bir ifadeyi vermeyi kabul etmediğimi, kimseye bu şekilde iftira atmayacağımı söyledim. O da bana ‘Ben sana Makyavelist düşün diyorum. Yarın öbür gün baktın CHP iyi gidiyor. Sen de mahkemede ‘Ben bunları çıkmak için söyledim’ dersin. Ben de senin tüm medyadaki elin, ayağın olacağım. Bu işi hallederiz’ dedi. Ben ona ‘Fuat Uğur, Cem Küçük ve Nedim Şener devamlı benim hakkımda yalan dolan yazılar yazıyor. Konuşuyorlar’ dedim. O da ‘Hepsi bende. Sen merak etme, hepsini ben halledeceğim’ dedi. Tüm bunların üzerine kesinlikle böyle bir ifade vermeyeceğimi söyledim. Benden hem böyle bir ifade vermemi istedi. Hem de 2 milyon Amerikan Doları mı vereceğim dediğimde, bana ‘Bu işler böyledir’ dedi. ‘Ben kabul etmiyorum’ dediğimde ayağa kakltı. Elimi sıktı ve kapıya gitti. Sonra ben son olarak ‘Bunları sölyemezsem çıkamıyor muyum yani?’ dediğimde, ‘Senin tercihin bu yönde oldu’ dedi. Beni dışarıya çıkarmak vaadiyle yalan ifade vermemi öneren kişi hakkında şikayetçiyim’ diyor. ‘Avukatımın yapacağı başvuru’ diyor. Avukat da o başvuruyu yaptı.”
“BU, BUZDAĞININ GÖRÜNEN YÜZÜ DE DEĞİL TEPEDEKİ TOPLU İĞNE”
“Şimdi bu ben bilmem kendisinin siyasi görüşünü. ‘AK Partili bir müteahhit’ dedikleri, İBB AK Parti’deyken çok yoğun çalışan, yeni dönemde de çalışan birine, ‘Sen bunları yapmışsındır’ diye içeri alınan birine şimdi ‘Ver şu kadar parayı. Bunları bunları söyle, çık’ diyorlar. Bu buzdağının görünen yüzü değil. Görünen yüzünün tepesindeki toplu iğnesinden bahsediyoruz. Biri burada, biri burada. İkisi yolda. Bir güvence verecek. Devlet bir güvence verecek. Bu savcıları görevden alacak. En güvendiği ama gerçekten; partili değil, Ekrem Başkan’a saldırı odaklı değil, adalet odaklı bir savcı, başsavcı ve başsavcılar görevlendirecek. Pause’a basacağız, o savcılar bu ifade verenlerin hepsine bir tur ifade edecek. Diyecek ki ‘Doğruyu anlat. Devletin güvencesi altındasın.’ İçeriden çıkanların tamamının… Bakın nasıl ‘Duymuştum falan filan’ iftiralarla, önemli bir kısmının, önemli paraları bu avukatlara filanca yerlerde verdikleri, böyle 2 milyon dolar, 4 milyon dolar… Bunların hepsi Türkiye’nin en zengin, bakanlıklarla da çalışan… İçeri aldılar da suçüstü yaptık ya. Teknofest’i yapan adam, Türkiye yüzyılının bilmem nesi. Bunun gibi tarzda, yok Türkiye’nin dünya kadar billboardını yapanları, Türkiye’deki bütün ihalelere giren beş asfalt firması var o güçte, o firmalar, beton firmaları… Bunlar her yerle çalışıyorlar, çok güçlüler. AK Parti döneminin getirdiği işi dışarı yaptırma geleneğinin güçlendirdiği büyük sermaye. Dışarı çıkanlardan ‘At iftira kurtul, at iftira kurtul…’ Parası olandan ‘Parayı ver, öyle kurtul.’”
“BU İŞ SANA GELİYOR…”
“Bir de işin görünmeyen başka bir buzdağı var. O tamamen suyun altında gömük. Allah’ın izniyle onu da çıkaracağız. Bu iş sana geliyor. Yakında savcı seni alacak. ‘Bak, geçmişte İBB’den ya da CHP’li 26 belediyeden birinden, Türkiye’deki CHP’li 400 belediyeden birinden iş almışsın. Aynı bunlar gibi olacaksın. Savcı yakınım. Bu işi sulh içinde halledelim.’ Arada telefon konuşmaları, ‘Avukat arkadaş iyidir, sizi tanıyor. Size de kefil. Biz de namusunuza inandık. Sizi meşgul etmeyeceğiz’ dediği gibi olsun diyorlar. Bu kulak şunu duydu arkadaşlar, şunu duydu. Diyor ki ‘Düğün ne oldu?’ Savcı alıyor telefonu. ‘Düğün ne oldu?’ ‘İptal ettik.’ ‘Ne gerek var, yapılır düğün.’ ‘Almanya’dan düğün için size para gelmedi mi?’ ‘Yok abi bizim parayla, pulla işimiz olmaz.’ Cevabın temizliğine bak. Şeytanın gizli ifadesine bak. ‘Düğünde para lazım. Para gelirse düğün olur.’ Baba içeride diye düğün iptal ediliyor ya. ‘Almanya’dan…’ Babasının patronundan. ‘…Para gelmedi mi düğün için? Lazım olur.’ O diyor ki ‘Yok abi bizim paramız var, kimseden paraya pula ihtiyacımız yok.’ Saf çocuk. Öbürü diyor ki ‘Yok yok, düğün dediğin para ile olur. Para gelirse düğün olur.’ Böyle bir kötülükle iç içeyiz. Şu kişi, Türkiye’nin en zengin iş adamlarından birisi. Belli ki bu iftiraları attığında yarın öbür gün gerçekten hukuk hayata geçtiğinde başına neler gelebileceğini ya da başını yastığa koyduğunda ömründe haberi yok; Roma gezisinden, CHP’nin kurultayından. Mücahit Birinci gibi bir adam, dört tane özel görevi almış. AK Parti adına siyasi operasyon yapıyor Tekirdağ’da. Çünkü bunu yaparsa, bu ifade verirse, yarın yazmayacak mısın Sabah gazetesi, yazmayacak mısın Yeni Şafak? A Haber bu kadar kırmızı ekranı bölüp de koymayacak mısın ‘CHP kurultayına verilen paralar Murat Kapki’nin ifadesinde çıktı’ diye? Adam diyor ‘İftira atamam, iftira.’ Aylardır bunlara uğraşıyorsunuz. Çok net söylüyorum. Dünya kadar şirkete ‘Sana da geliriz’ diye çöküyorlar. Dünya kadar şirketi aldılar. Adamın 60 yıllık şirketine el koydular. İstediği para, 60 yıllık şirket. Dedesinin, babasının emeği var. ‘Ver 2 milyon dolar, çık dışarıya. Al şirketi geri.’ Bunun borsasını kurdular.”
“O KADAR ÇOK İFTİRA ATTIRDILAR Kİ BAĞLAYAMIYORLAR”
“Şimdi buradan Adalet Bakanı’na, Yılmaz Tunç’a diyorum. Tarihi bir noktadasın, tarihi. Partinin kurulduğu günde HSK’yı olağanüstü toplantıya çağıracaksın. Oradan gerçekten doğru, hepimizin de rızasını alabilecek bir soruşturmayı yapacak birilerini görevlendirip şeffaf, hepimizin ‘Oldu bu soruşturma’ diyeceği bir soruşturmayla herkese güvenceyi vereceksin. Bu çete çökecek. O bulunamayan ama aslında başka yerlerden temin edilen paralar bulunacak. Ondan sonra bu dosya yeni baştan tıkır tıkır görülecek. Sayın Bahçeli’nin ‘Uzadı, tavsadı, haydi’ dediği… ‘Haydi’ diyor da yapabilirler mi? İddianame yazılamaz durumda arkadaşlar. O kadar çok iftira attırdılar ki iplikleri birbirlerine bağlayamıyorlar. Bağlayabilmek için böyle maymunluklara ihtiyaç var. Önce gizli tanık müessesesi, delille desteklenememekten çöktü. Var mı şimdi Çınar’ın, var mı şimdi Ladin’in söylediklerini konuşan var mı? Yandaş medyada var mı? O ilk günden konuşulanlar? Hepsinden geri çekildiler. Neden? Hepsi yalan çıktı, hepsi çürüdü. Ne demiş gizli tanık? ‘Ekrem İmamoğlu’nun arabaları bilmem neredeki otoparkta.’ Sonra ne olmuş? MHP’nin çıkmış. Çökmüş mü? Onlardan bir şey kalmadı, şimdi bunlar. Şimdi etkin pişmanlık müessesesi çökmüştür, çürümüştür. Buradan uyarıyorum. Etkin pişmanlıktan yararlanıp ne sebeple olursa olsun böyle iftira atmış olanlar, hiç değilse kendi avukatımızı çağırın. Olayları yazdırın. Bir noter vasıtasıyla bugün tarihi ile tutanak altına alıp kapalı zarflatın. Günü geldiğinde makbul itiraf sayacağız. Bu pisliklere karşı korkup da para verenlere, iftira atanlara… Meseleyi anlatan el yazınızla bir yazıyı avukatınızla notere götürüp kapalı zarflatın. Makbul itiraf ve makbul şekilde devletle işbirliği sayacağız. Yeter ki bu çetenin pisliklerine ortak olmayın. Eğer bunu yapmazsanız günü geldiğinde bundan siz de sorumlu olacaksınız. Bütün kendisine böyle teklifler bulunup reddeden namuslu insanları Sayın Kapki gibi, Sayın Yener Torunler gibi, avukatlarıyla suç duyurusunda bulunmaya, kendisine bundan sonra baskı gelecek olan, böyle teklif gelecek olan herkesi derhal bu avukatları cezaevi yönetimine şikâyet etmeye, haklarında suç duyurusunda bulunmaya çağırıyorum. Savcılar avukat tutamaz. Savcı kendi savcıdır. Bir avukat eliyle manipülasyon yapamaz, iftira attıramaz, kimseyi kullanamaz. Savcıya iletilmek üzere kimseden milyonlarca dolar para talep edilemez. Bu vıcık vicik ilişkiler yüzünden, yaptığımız HSK başvurusunda var; gözaltında, ev hapsinde tutulan avukat diyor ki savcıya ‘Pazartesi şunu getireceğim abi…’ Böyle (ok emojisi) yapmış. ‘Salı günü bu itiraf yapıyor abi.’ Böyle (teşekkür emojisi) yapmış. ‘Çok yoğunum perşembe – cuma. Pazartesi – salı getir’ demiş, ‘Öbürlerini.’ Bakıyorsun o tarihte bu da (ok emojisi) olmuş bu da (teşekkür emojisi) olmuş. Yani şimdi adam onu yazışmışsın da photoshop’la yapmamış yani. Photoshop’la yapıp da sen nasıl bu yaptığın işi o gün gerçekten yapmışsın? Böyle dediğin adam gelmiş, ifadesini almışsın ve salmışsın.”
“O SAVCIYI DA YOLLAYAN ERDOĞAN, O BAKANI DA ATAYAN ERDOĞAN”
“Lağım patlamıştır. Bundan sonra bu düzeni sürdürmeye çalıştıkça içinde tepinen herkesin üzerine bu pislik bulaşacaktır. Tayyip Erdoğan’a bir şey diyemiyorum. Adalet Bakanı’na, büyük ihtimalle Bakanlığına mal olacak, şu tarihi adımı atmaya davet ediyorum: Bir yetkili savcı Pause’a basacak veya bir kurul. Bu dosyanın buraya kadarki tüm aşamalarını bir soracak. Gerçek ortaya çıkacak, sonra devam edeceğiz. Bunu neden yapamaz biliyor musunuz? Bunun da cevabı; Cumhurbaşkanlığı hükümet sistemi denen bu tek adam rejimidir. O savcıyı da oraya yollayan Erdoğan, o bakanı da atan Erdoğan. Bugün bizim adaletini beklediğimiz bakanı atayan Erdoğan, o savcıyı ‘Bunlar beceremedi. Git, Ekrem’in defterini dür’ diye İstanbul’a yolladı. Bakın AK Partililer söylüyor, hepiniz dinliyorsunuz. ‘Akın Gürlek – Erdoğan ilişkisi bambaşkadır. Erdoğan’ın telefonu ilk çalışta açılır gece 01.30’da da olsa.’ İstanbul’da eski Atatürk Havalimanı’nda Erdoğan indiğinde karşılayan Akın Gürlek, dışarıda cumhurbaşkanı yardımcıları, bakanlar, askerler bilmem ne varken içeri girip fısır, fısır, fısır bunları söyleyip onayını almıyor mu Erdoğan’dan? Bilmeyen mi var? ‘Yok’ deyin. Akın Gürlek geldiğinde direkt Cumhurbaşkanı’nın yanına ‘Biz Cumhurbaşkanı’na bir şey diyemiyoruz ki. Paldır küldür hiçbir prosedür olmadan yanına gidiyor. Bilmem ne yapıyor. ‘He’ dedi mi gidiyor bunu yapıyor’ diyen siz değil misiniz? Erdemliler Hareketi diye çıkılan yolda gelinen noktaya bakın.”
“BU BİR KIRILMA GÜNÜDÜR…”
“Bunların 100 kat fazlası ortaya dökülecek. Ama gün bugündür ki bu bir kırılma günüdür. AK Parti’nin meselenin kurumsal olarak içinde olduğu, televizyonlarda AK Parti’yi en çok savunan, organize algı hareketlerinin tam içinde olan, bir ayağı sarayda bir ayağı Çağlayan’da olan AK Parti’nin her kademe yöneticisi, babası, ideoloğu olan, kerli ferli Atatürk düşmanı bu işleri yapıyor, gidiyor. Geçtiğimiz günlerde de Silivri’de geziyordu. Bu dosyadan etkin pişmanlık aramak için. Biz bu vakitten sonra mücadeleye devam edeceğiz. Şunu bilin. Bu savcılar, biz böyle diyoruz diye kızıyor ya. İfade tutanaklarına şöyle şeyler yazdırıyorlar: ‘Kulağımla duydum. Filanca demiş ki Özgür Özel hakkında…’ deyip
sinkaflı bir küfür. Edemediği küfrü tutanağa yazdırıyor. Gittim, ziyaret ediyorum. ‘Özgür bey çok özür dilerim.’ Nasıl yeminler ediyor. Dedim ‘Neden takıldın sen böyle, ne demişsin ki sen bana?’ Dedi ‘Bir itirafçıya dediler ki Fatih Keleş Özgür Özel hakkında bip diye küfür etmiş. Ben ömrümde kimseye küfür etmedim.’ Dedim ‘Ya bilmiyor muyum. Savcı edemediği küfürü yaparken oraya yaptırıyor. Ekrem İmamoğlu’na, bana, arkadaşlarımıza.’”
“BİR ARINMA, TEMİZLENME BEKLEMİYORUM ELBETTE”
“Böyle bir basitlik, böyle bir çukurla karşı karşıyayız. Bu kadar pislik akarken dün Aydın Büyükşehir Belediyesi… Dünya kadar arkadaşımıza haksız hukuksuz cezaevi. Kiminin çocuğu 15 yaşında Adana’da, kendisi Silivri’de. Kiminin çocuğu, 86 yaşında annesiyle birlikte evinde; kendisi Düzce’de. Kiminin çocuğu, annesi – babasıyla 78 yaşında, tek başına; kendisi Silivri’de. Öbürüne ‘Çocuk var mı?’ ‘Var.’ ‘Nasıl ayrı kalacaksın? Haydi sana iyi yolculuklar.’ Ertesi gün zıng Afyon’a. Oğlu yedi saat arabayla gider, ‘Bilgisayar hatası, geri gidin. Haftaya gelin’ derler. 50 kişilik koğuşlara yollandı tek kişilik odalarda kalan arkadaşlarımız. Her türlü farklı suçlanan kişilerle birlikte sırf zulüm olsun diye. O gittikleri koğuşlarda bile vicdan harekete geçmiş durumda, vicdan. ‘Abla sana yapılan hiçbirimize yapılmadı, biz sana sahip çıkacağız’ diyor insanlar. O yüzden korkmadan, silmeden, durmadan bu kötülükle mücadele ederek. Buraya kadarmış AK Parti’nin geleceği, getireceği yer buraya kadar. Buradan sonra bir arınma, bir kurtulma, bir temizlenme elbette beklemiyorum. Cesur adımlarla tarihte doğru yerini alabilecekler, istifa edebilecekler, adım adım Erdoğan’ın hışmına uğrayacaklar olabilir belki. Cesaret gösterin. Erdoğan’dan korkmayan herkesi cesaret göstermeye, endişe eden herkesi bugün yaşadıklarını yazıp kapalı zarfla tarihe bırakmaya… Doğru günde yapılmış doğru pişmanlık beyanı kabul edeceğiz. Yeter ki bu çeteyi çıtır çıtır hızla çözebilelim. Yeter ki bu yaptıkları zamanın örtüsünün altında kaybolmasın.”
“MÜCAHİT BİRİNCİ HAKKINDA SORUŞTURMA AÇILMASI ÖNEMLİ”
Açıklamanın ardından basın mensuplarının sorularını yanıtlayan Genel Başkan Özel, İstanbul Cumhuriyet Başsavcılığı’nın Murat Kapki ve Mücahit Birinci arasındaki görüşmeye ilişkin soruşturma başlattığı haberinin paylaşılması üzerine şunları söyledi:
“Bir kere mesela dün benim hakkımda da Ankara Cumhuriyet Başsavcılığı soruşturma başlattı. Ondan da büyük memnuniyet duyuyorum. Çünkü kendisini Türkiye Cumhuriyeti Başsavcısı sanan kişi milletvekilleri hakkında, mesela Aykut Erdoğdu asla onun tarafından sorgulanamaz. Sorgulandı ve Silivri Cezaevi’nde. Türkiye’nin herhangi bir yerinde olan bir olaydan dolayı yapıyor. Bu arkadaşlar İstanbul Cumhuriyet Başsavcılığı’nın elinde kalmasın diye Tekirdağ’a başvurdular. Onlar tabii inisiyatifi Tekirdağ’a kaptırmamak için mutlaka böyle yapıyorlar. Dikkatle takip ederiz. Mücahit Birinci’nin hakkında soruşturma önemli. Mutlaka hızlı bir şekilde kendisine ait bütün dijital dokümanlara el konulması lazım. Telefonuna, bilgisayarına, iCloud hesaplarına. Telefonda ciddi bir arama yapılması lazım. Elini kolunu sallaya sallaya gezmiyor olması lazım. Çünkü bu işin odak noktasındakilerden biridir. Daha çok kişi hakkında soruşturma açacaklar. Ama şu kadarını söyleyeyim. Antalya’dan firar eden kişiyi tutuklayacak dirayeti ve cesareti olmamalarının sebebi aynı ekipte olmalarıdır. O kişiyi cezaevlerine yollayanlar bu savcılar zaten. O yüzden de kaçan adamı getirdiğinde diyor ki ‘Tutuklayamıyorum, tutuklama yasağı var.’ İki yıla kadarki suçta. 7,5 yıla kadar cezası var, ‘Evde kalsın diyor. Yani resmen ikili bir hukuk uyguluyorlar. Üst sınırı dört yıl olan cezayla kendi ayağıyla yürüyerek, tespih sallayarak, etrafa gülücük atarak giren avukat arkadaşımızı alıp cezaevine koydular. Günler tutuyorlar. Meis’e giderken Serik’te yakalanan adamı ev hapsinde tutuyorlar. Daha ne yapacak?”
“AYDIN’DA AYAKKABILARIN TOPUKLARINI KIRIYORLAR ŞİMDİ”
Cumhuriyet Halk Partisi Lideri Özel, “Özlem Çerçioğlu’nun iddia edildiği gibi bir yolsuzluk sürecine katıldığına, yolsuzluk yaptığına inanıyor musunuz? Böyle tespitleriniz var mı? Bir iç soruşturma başlatacak mısınız?” sorusuna şu yanıtı verdi:
“Bugün bana AK Partili bir siyasetçi Aydın’dan telefon açtı ve dedi ki ‘Özlem Çerçioğlu hakkında bana partim ‘Araştır bu konuyu’ demişti. Kendisi hakkında yapılmış suç duyuruları bilmem neler, işte iki klasör bende var. Benim ne partinin yaptığı içime siniyor ne Özlem Hanım’ın yaptığı. Bundan sonra belgeleri size yolluyorum’ dedi. Yolladığında, geldiğinde bakarız. Onlar öyle bir şey. Ama bizim bildiğimiz bir şey var. Özlem Çerçioğlu birçok… Örneğin Oya Tekin’in bir yıldır, ya da 11 yıl önce kendinden önceki AK Partili belediyeden kaldığı için Adana Büyükşehir Belediye Başkanı Zeydan Karalar’ın tutuklu olduğu Aziz İhsan Aktaş’la yıllardır çalışmış. Aziz İhsan Aktaş’la çalışmak suç değildir. Suç varsa ortaya çıkmalıdır. Isparta Belediyesi Aziz İhsan Aktaş makam arabası almış, plakasını AK Parti’nin ‘AK’ını koymuş. İlan edilmiş, duruyor. Bir ay seçimde minibüs gezdi diye belediye başkanı içeride yatıyor. AK Partili Trabzon Belediyesi, Isparta Belediyesi, daha önce defalarca saydığım belediyeler, bakanlıklar, Pamukkale, Uludağ Üniversiteleri… Hepsi çalışmış. ‘Bu suçtur’ ben diyemem. Ama Aziz İhsan Aktaş’la çalışmak CHP’li belediye ise suç ve tutuklanma sebebi. Yüzde 13’ü ile biz çalışmışız. Yüzde 87 AK Parti’de, yok. Bizim içimizde, yıllardır görevde olduğu için en çok Aziz İhsan Aktaş ile çalışan belediye Özlem Çerçioğlu. O da bu durumdan duyduğu endişeyi hep dile getirirdi, dile getirirmiş. Gökan Zeybek’in aktardığı. Ben de kendisine dedim ki, ‘Kendinden eminse niye korkuyor?’ ‘O da diyor ki Zeydan’ı nasıl aldılar?’ Dedim ‘Bu bakıma haklı. Ama Zeydan gibi alınacaksan namusunla gireceksin, namusunla çıkacaksın.’ O noktadaydık. Sonra duyduk ki 15 gün önce AK Parti kendisine bir kanalla ‘Bak en çok sen çalışmışsın. Zeydan’da tek dosya; içeride. O da büyük Büyükşehir diye örnek veriyorum. Sen de bu kadar çok, yakında sen de girersin. Ya hapse atıl ya gel AK Parti‘ye katıl’ demişler. ‘AK Parti’ye katılırsan hapse atılmazsın, AK Parti‘ye katılmazsan hapse atılacaksın.’ Mesele bundan ibaret. Ben Özlem Hanım’a; düne kadar veya bir ay öncesine kadar en iyi ilişkiler içerisinde olduğumuz, sevdiğimiz – saydığımız birisine ‘Bu hırsızlık yaptı’ nasıl diyeyim? Ama ona ‘Bak aynı durumda olanları tepeledik. Tepene binmek üzere beklemedeyiz. Kararı ver’ dediler. O da arkadaşların gösterdiği cesareti göstermek yerine Aydın’ın kendisine; 2002’de, 2007’de milletvekili, 2009’da il belediye başkanı, 2014, 2019 ve 2024 yıllarında büyükşehir belediye başkanı olarak CHP amblemi altında verdiği o helal oyları çalarak, hem de AK Parti olmasın diye kendisine verilmiş oyları alıp AK Parti‘ye götürerek Tayyip Erdoğan’ın Aydın’ı hırsızlamasına müsaade etti. Tarihe böyle geçti. Aydın’da ayakkabıların topuklarını kırıyorlar şimdi, ona Topuklu Efe diyenler.”
“BİR ÇÖZÜM OLMAZ DA OLMAYACAĞINI MİLLET GÖRSÜN”
Genel Başkan Özel, partisinin HSK başvurusu ile Mücahit Birinci hakkında açılan soruşturmada ilerleme bekleyip beklemediğinin ve Birinci’nin sosyal medya açıklamasının sorulması üzerine, “Cirmin kadar yer yakarsın Mücahit’ diye yanıt veririm. HSK’dan bir sonuç çıkar mı? Bu rejimde çıkmaz. Bu yüzden bu rejimi değiştirmek lazım, bu düzeni değiştirmek lazım. Asla bir sonuç çıkmaz. Ama milletin bu kadar… Örneğin mahallede lağım patlamış, ortalık pislik içinde. Sinek basmış, hastalık olmuş. Gelip de orayı tamir edemiyorlarsa milletin bunu da görmesi lazım. O zaman der ki millet ‘Demek ki bu sistem yanlış sistem. Doğrusuna dönelim, doğrusuna geçelim.’ Ben HSK’nın mevcut yapısıyla… Şunu düşünün. HSK seçimlerinde hile yaptı adamlar, hile. Hepinizin gözünün önünde ilgili komisyonda hile yaptı adamlar. İki turda olacak seçimi üçüncü tura çıkarıp kendi adayını ortadan ikiye bölüp kuraya bir CHP’nin bir AK Parti’nin önerdiği kişi yerine iki AK Partili’nin kuraya girmesini sağlayacak kadar gözü dönmüş bunların. Neden? Başvurunun yapılacağı dairedeki bütün hâkimler kendilerinden olsun diye. O yüzden bir çözüm olmaz da olmadığını millet görsün. Benim görevim bunu ortaya dökmek. Susup da oturacak olsam, isyan etmeyecek olsam… 45 tane miting yapmışım, 45’inde de bu sistemin bizi getirdiği bu haksız düzenin isyanını dile getirmişim. Bundan sonra da benim görevim bu. Milletin de görevi bu kokuşmuşluğu ilk seçimde ortadan kaldırmak, bunun içinde derhal sandığı talep etmek” dedi.
“DELİLLERİ TOPLAMAYA BAŞLADIK, GÜNÜ GELİNCE NE GEREKİYORSA YAPACAĞIZ”
Cumhuriyet Halk Partisi Lideri Özel, partisinin iktidara gelmesi durumunda bir temiz eller operasyonu ya da bir temiz eller siyaseti gibi düzende temizlik için neyi önerdiğinin sorulması üzerine şöyle konuştu:
“Çok teşekkür ederim. Aslında iddianameye esas olacak delilleri bugün toplamaya başladık. Yargıya güven yüzde 18. Yüzde 82 bu yargıya güvenmiyor. Bu yargıya güven için ilk önce bir temizliğe ihtiyaç var. Onun yapılabilmesi için bir iktidar değişikliğine ihtiyaç var. Ama gün kaybetmeden o gün yapılacak soruşturmanın delillerini toplamak için bugünden diyoruz ki kim ki bir avukat teklifiyle, bir başkası hakkında ‘Duydum, gördüm’ diye onun dediği gibi bir ifade vererek ya da dediği gibi bir iftira atarak ya da para verip bir yerden çıktıysa bunları yazsınlar. Bugün tarihli noterde emaneti alsınlar. Günü geldiğinde gerekli yasal düzenlemeleri yapıp bunları kamu yararına doğru şekilde işbirliği yapmak için delil kabul edeceğiz. Ne gerekiyorsa yapacağız. Biz şimdiden o delilleri toplamaya başlıyoruz. Çünkü bir buzdağının görünmeyen yerinde dünya kadar iftira atan ve para verenler var. Bir de görünmeyen bir buzdağı var. Orada da başına bu gelmesin diye peşinen sağılanlar, söğüşlenenler, silkelenenler var. Bu ‘Silkele’ lafı sadece siyaseten bize söylenen bir şey değil. ‘Haydi biraz silkeleyin’ diyorlar ya. Ne şirketler silkeliyorlar, ne zenginleri silkeliyorlar, ne geçmişle birlikte ilişki içinde olduklarını silkeliyorlar. Beşli Çete diye o söylenen 43 tane, 38’i vergi ödemeyen şirketten CHP’li bir belediyenin kapısından geçeni ‘Vay, sen Erdoğan’a ihanet ettiğin, demek ki yatırımı bundan sonrası için CHP’ye yapıyorsun’ diyerek onlara neler neler ediyorlar. Hepsini biliyoruz, bilmeyen mi var? Bilmeyen mi var televizyonun başında izleyen AK Partililerden?”
“TAKLACI GÜVERCİNİNİN BESİNİNİ ALAMAMA NOKTASINA…”
Özlem Çerçioğlu’nun sosyal medya paylaşımına ilişkin soru üzerine Genel Başkan Özel, şunları kaydetti:
“Özlem Çerçioğlu‘na tecrübesinden dolayı Sosyal Demokrat Belediyeler Eşgüdüm Konseyi, SODEMBEK’in üyesidir. Ben başkanlık ederim, Genel Sekreterimiz olur, Ekrem Başkan, Mansur Başkan, işte Türkiye’de belediye birliklerinin başkanları ve tecrübeli başkanlarımız. Bize her toplantıda, işte geçen ay katıldığı toplantıya kadar. Bu toplantıya geçen perşembe gelmedi, ‘Yat tatildeyim’ dedi ‘Yurt dışındayım’ dedi, gelmedi. Her toplantıda AK Parti’nin ne pislik, CHP’nin ne dürüst, kendisinin nelerle uğraştığını ama onlara karşı dimdik durduğunu, çünkü Atatürk kızı olduğunu, bu AK Parti’nin her tarafının ne pislik olduğunu, neler neler söyler. Hatta bizim siyasette hiç konuşmadığımız AK Parti dedikodularını, bizim normal şartlarda konuşamayacağımız açıklık ve şeyle anlatır böyle ‘Eh ben ablanızım’ der. Geçer anlatır falan böyle. AK Parti’nin paçasından pislik aktığını ben bugün söylüyorum, Özlem Hanım dört yıldır söylüyordu ve beş yıldır söylüyordu. İki yıldır SODEMBEK toplantılarında partiye yapılan baskılara karşı nasıl mücadele etmek gerektiğini söylüyordu. Ayrıca şunu da söyleyeyim. Özlem Hanım, Efeler yani merkez ilçe başkanımız, geçtiğimiz hafta akıl almaz şeyler söyledi. O milletvekiline saldırıyor, bu genel başkan yardımcısına saldırıyor, partiyi eleştiriyor. Saçma sapan bir şey. Baktım ben. Dediler ki, ‘Hemen disipline veriyoruz.’ Yani normal şartlarda bunu yaptığında, örneğin Devlet Bey onu Jüpiter’e yollar, o ilçe başkanını. Tayyip Bey kendi çıplak elleriyle boğar. Dedim ki ben, ‘Kendini attırmaya çalışıyor.’ Dediler ki, ‘Niye?’ ‘Özlem‘e altlık olsun diye’ dedim. Özlem demiş ki, ‘Attır kendini. Ben de senin görevden alınmanı protesto edip partiden…’ Hiçbir bahane vermedik. 15 gündür neler yaptılar. Bahane vermedik. Şimdi bahane neymiş? Kamu düzenine uygun çalışma noktasında taklacı güvercininin besinini alamama noktasında partisinden ayrışmışmış… Yazıklar olsun.”
“ALTI AY İDDİANAME BEKLEMEK YERİNE HER ŞEYİ YAPIYOR İNSANLAR”
Genel Başkan Özel, “‘Buz dağının ucunu ucu’ ifadesine ilişkin ‘ipucu’ sorusuna, “İpucum şu. Herkesin bildiği, aslında çok güzel ifade etti meslektaşınız, herkesin bildiği konuştuğu bir şeyi somutlanma, oksijenle temas ihtiyacı var. Mesele şu. Kurulan düzen, öyle bir noktaya geldi ki bu FETÖ borsasında da öyleydi zaten. Şimdi bir, temel hedef Ekrem İmamoğlu ve birkaç arkadaşını siyasetin dışına itecek kadar suçlayacak delilleri bulabilmek. Bunun için bir iftira mekanizması var, bunu biliyoruz. Bunun yanında tabii, biraz önce söylediğim gibi. 90 bin kişinin çalıştığı, Avrupa’daki pek çok devletten daha büyük bütçeli, daha çok insana hizmet eden İstanbul Büyükşehir Belediyesi’nde Türkiye’nin en büyük asfalt firmaları, Türkiye’nin en büyük beton firmaları, en büyük altyapı firmaları, en büyük ihaleler, en büyük reklam firmaları, dijitaller, çok uluslular, herkes var. Bunlar buralara geliyorlar, ihalelere giriyorlar. Bununla ilgili bir sıradan hepsini topladılar. Sonra patır patır hepsini, ‘Duydum, mış mış, mış mış çıkardılar. Bu mış mışların yanında bir de pış pışlar var. Onları duyuyorduk, görüyorduk, şimdi ifadelerine ulaşmaya başladık. Bir de son evrede, son fazda şöyle bir noktaya geldi iş. Artık şirketlere gel gel yapıp, avukat yollayıp, bu avukatlar işte, savcılar avukat tutmuş dediğimin bir boyutu da bu. ‘Ya geçen gün savcı beyin yanındaydım, seninle ilgili filanca dosya var. Dedim yahu, biz tanırız, hallederiz. İşte o zaman onun bir ifade vermesine de gerek yok.’ İşin ikinci kısmı, ‘Şu kadarla birlikte bu işten kurtulursun.’ 30 yıllık şirket, varlığı 100 milyon, bunlar istiyor 2 milyon. Başımın gözümün sadakası olsun, lanet olsun diye veriyorlar. Bunlar görünmeyen tarafı. Bunların çıkması için bir cesaret lazım. Mesela ben, hızlı bir şekilde iktidar değişimini sağlasak, bir özel yasayla bu insanların ne şartlarda zorlandıklarını da bildiğimiz için, bunları açık etmeleri durumunda bu verdikleri paralardan sorumlu tutulmayıp, bütün bu yargı çetesinin deşifre edilmesini kamu açısından çok daha önemli görürüm. Hatta bunlara bu paralarını geri vermeyi bile taahhüt etmek lazım. Hepsi, müteahhitlik, taahhüt, bütün ihalelere girip, İBB gibi devasa yapıdan ihale alan bütün şirketleri kastediyorum. Bu şirketlerden bazılarına, işte dosyalara bakıyorlar, ona göre, ‘Bak, sen de buradasın.’ Bazısında hiçbir şey olmayabilir ama böyle bir belaya gidip de içeriye gidip, altı ay iddianame beklemek varken, defi bela kabilinden her şeyi yapıyor insanlar” yanıtını verdi.
“DAYANAMAZ, KENDİ KONTROLÜNDE O İŞİ YAPACAK”
“Murat Kapki’nin şikâyetine ilişkin Tekirdağ yerine İstanbul Cumhuriyet Başsavcılığı’nın soruşturma başlatmasına ilişkin soruyu Genel Başkan Özel, “Dayanamaz o. Dayanamaz. Çünkü kendi kontrolünde değilse Tekirdağ Başsavcılığı. Maazallah gerçeğe ve hakikate ulaşırlar. Ondan, onu hemen çekecek, orada kendi kontrolünde o işi yapacak” şeklinde yanıtlandı.
“SİSTEMDE BİR TANE HÜKÜMRAN BİR DE ONUN APARATLAR VAR”
“Adalet Bakanı’nın ‘Yargıyla ne alakası var? Burada yargı mensuplarının, savcıların suçlanması söz konusu değil. HSK üyelerine hakaret etti’ açıklamalarının sorulması üzerine Özel şunlar söyledi:
“Bütün Türkiye’nin gözü önünde HSK seçim usulünde hile yapıldı. Herkes biliyor orada hile yaptıklarını. İki turluk oylamada, üçüncü turu yaptılar. Anayasa Mahkemesi’ne başvurduk. Bütün Türkiye biliyor. İkincisi, şunu söyleyeyim. O söylediği kayıtta, ‘Savcı beyin bundan haberi var. Savcı bey benimle birlikte gelir de savcıya giderseniz, sizi bırakacak. Başka sorular sormayacak’ demesi, savcının sesini dinletmesi, savcı ile telefonda görüştürmesi var. Bunlarla ilgili ‘Ne alakası var?’ diyor. Müvekkile bilmem ne arasında. Sen bir tane oraya muhakkik tayin edip, sen bu kişinin iddia ettiği görüşmenin savcıyla yapılıp yapılmadığını, aynı yerden baz verip vermediklerini, birlikte oturup kalkmadıklarını, savcının odasına, yedinci kata hiçbir avukat giremezsen, bir tane savunma avukatı giremezken bu nasıl giriyor her gün savcının odasına? Hani diyorsunuz ya, ‘Yedinci kat acayip korunuyormuş. Bu savcıların kalemleriyle bile görüşülemiyormuş. Bariyerlerin ötesinden evrak yollanıyormuş.’ Bu, odalardan çıkmıyor. Adalet Bakanı, ‘Bu müvekkille, savcı arasında’ diyerek, meselenin Akın Gürlek’e, Tayyip Erdoğan arasında olduğunu, kendisinin de bu işte dekor olduğunu göstermiştir. Adalet Bakanlığı dekoru pozisyonunda kendisi. Çakmışlar onu oraya bakan diye, dekor yapıyor. Sistemde bakan varmış gibi. Oysa sistemde bir tane hükümran var, bir de onun aparatları var.”
“MİLLETİN VİCDANI HAREKETE GEÇER, TEPKİ GÜÇLENİRSE…”
Özel, “Sayın İmamoğlu, kendisinin aday olamayacağı takdirde alternatif bir adayı destekleyeceğini açıkladı. Sizin bir alternatif adayınız var mı?’ sorusuna “Konumuz o değil” yanıtını verdi. “Ekrem İmamoğlu’nun bu konulara nasıl baktığı hakkındaki soruyu yanıtlayan Özel, şunları kaydetti:
“Ekrem Bey bu ve benzeri konuları zaten sürekli, oradaki avukatlardan, gelenlerden, gidenlerden duyuyor. Silivri’de ana gündem bunlar zaten. Herkes biliyor. O avukat görüş odalarına gelenler, gidenler, fısıldayanlar, bilmem neler? Biz bu iki tane somut, şikâyete dönüştürülen, başsavcılıklar başvuruda bulunulanlar bunlar. Yoksa onlarcası, yüzlercesi bunların konuşturuluyor. Orada Ekrem Bey açısından ve diğer arkadaşlar açısından sorun, adil bir yargılama olmadığı, işin içine her türlü çirkinliğin karıştığını bilerek, o betonların arasında kalmak ve daha ne kadar kalacağını bilememek. Burada bir tek güvence var. Milletin vicdanı harekete geçerse ve şu anda yükselen toplumsal tepki git gide güçlenir ve adaleti isteyen bir noktaya gelirse bu işin içinden ancak öyle çıkacağız. Yoksa bakın Adalet Bakanı görevindeki dekor, duvara çakılmış bakan fotoğrafı, ‘Bu müvekkili ile avukatı arasında’ demiş. Ya avukat gelmiş, ‘Beni savcı yolladı’ diyor. ‘Para verirsen seni salacağım’ diyor. Öbürü, ‘Savcının istediği ifade bu. Bunu verirsen çıkarsın’ diyor ‘Bunun bizimle ne alakası var?’ diyor. İşte yani, demin soruyordu ya Yıldız Hanım. ‘Sonuç alınır mı?’ Aldık sonucu işte yani.
“AYDIN’IN AK PARTİ İLE GÖRÜLECEK BİR HESABI VAR, OYUNU ÇALDILAR”
“Özlem Çerçioğlu’nun AKP’nin kuruluş yıldönümünde istifa etmesinin anlamı” ve “Cumhuriyet Halk Partisi’nin bundan sonra Aydın Büyükşehir’deki tavrının ne olacağı” hakkındaki soruları Özel, “AK Parti’nin kuruluş yıl dönümünde geçmesi herhalde bunca senedir AK Parti’ye bu kadar en ağır lafları söyleyen, Tayyip Erdoğan hakkında her türlü dedikoduyu kıkır kıkır anlatan birisi açısından anlamlıdır. O kendisi herhalde bunu belirlemiştir. Onun dışında CHP Meclis çoğunluğuna sahiptir. Dün de arkadaşlarımız toplandılar. Geçen belediye başkanları ve meclis üyeleri geçmesine rağmen çoğunluğumuzu koruyoruz orada. Orada bize verilen görevin gereği olarak en doğru tavrı, Aydın’a hizmet etme noktasında Belediye Meclis Grubumuz gösterecek. Allah bundan sonra Adalet ve Kalkınma Partisi’ne Aydın’da kolaylık versin. Millet her şeyi affeder. Milli iradeyi yok saymayı, milli irade hırsızlığını affetmez. Tayyip Bey bunu anlayamadı. Yani biz bir belediye kaybettik ama bir büyük başarı daha kazandık. Neden? İstanbul seçimlerinin ilk iptalinde de öyleydi. Ekrem Bey’in diploma iptalinde de öyleydi. Bundan sonraki sürece yönelik saldırılarda da öyle. Millet kendine seçme hakkı vermeyen, darbeye kalkışan veya kendi seçtiğine böyle taklalar attıranlara asla ve asla bir daha geçit vermez. Ne Özlem Çerçioğlu’na ne Adalet ve Kalkınma Partisi’ne. Göreceksiniz, kayda geçsin. Gelecek Aydın Belediye seçimlerini Cumhuriyet Halk Partisi nasıl bir farkla kazanıyor. Onu bütün Türkiye görecek. Çünkü Aydın’ın şimdi AK Parti ile görülecek bir hesabı var. Oyunu çaldılar. AK Parti şunu yaptı. CHP’ye verilen oyları çaldı. Ayrıca kendi seçmenine de, ‘Kötüdür’ dediğini aldı, dayattı. ‘Onu seçme. Bunu seç’ diyordu. Madem o iyiydi, niye aday çıkardın? Niye o kadar eleştirdin Aydın Büyükşehir Belediye Başkanını? O yüzden şimdi artık Aydın’ın görülecek bir hesabı var AK Partiyle” ifadeleriyle yanıtladı.
“B PLANLARI UYGULAMAK İÇİN YAPILIR”
Özel, “B planınızı öğrenebilir miyiz?” sorusuna, “Bu B planları basın toplantısında basına anlatmak için değil, günü geldiğinde uygulamak için yapılır” yanıtını verdi.
Özgür Özel “İBB BORSASI” belgelerini de paylaştı;
















